What is bandwidth?

The bandwidth for an impulse, ground penetrating, radar system is defined as the frequency span between the two points where the antenna amplitude spectrum crosses the -10dB line. In practice, the antenna bandwidth is the range of frequencies effectively used by the same antenna. 

In general, GPR antennas are commonly referred to using the defined center-frequency of the same antenna, e.g. ‘a 500 MHz antenna’ etc. Even though defined completely differently, in most cases the center frequency of an antenna will roughly correspond to the bandwidth of the same antenna. I.e. a GPR antenna using a center frequency of 500MHz will in most cases use an effective frequency range between 250 to 750MHz and a 1000MHz antenna will have an effective frequency range between 500 and 1500MHz. This is what many times is referred to as ‘100% bandwidth’, or 100% fractional bandwidth. If the fractional bandwidth is 120%, the effective frequency range is 20% larger but using the same center frequency. The broader the antenna bandwidth the better the antenna will perform.

The bandwidth of a GPR antenna is what really matters. This is what will determine how the antenna performs. It will define resolution and how deep the signal will penetrate a suitable medium. The center frequency is useful information but only if we are assuming the antenna is working at (at least) 100% bandwidth.

Chart showing GPR bandwidth amplitude and frequency

As explained, the bandwidth is defined as the frequency span between the two points where the spectrum crosses the -10dB line, marked in the figure above. In this case we have a bandwidth of 250 – 1260 MHz, or 1010 MHz.

The -10dB line is defined where the magnitude of the spectrum is 10 dB weaker than the strongest frequency component in the whole measured spectrum.

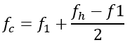
The centre frequency, ƒc, is defined as:

In the case above we get ƒc=250+(1260-250)/2 = 755 MHz.

Sometimes we also talk about the fractional bandwidth, instead of bandwidth. This is defined as the ratio between the bandwidth and the centre frequency and is often expressed in %. In this case we have the fractional bandwidth of 1010/755 = 134%, which is considered a very good bandwidth.

 

More to read

Application Areas
https://www.geoold.acrowd.se/application-areas/

GPR
https://www.geoold.acrowd.se/ground-penetrating-radar-gpr/

Case Stories
https://www.geoold.acrowd.se/solutions/case-stories/

GPR Products
https://www.geoold.acrowd.se/mala-ground-penetrating-radar-gpr/